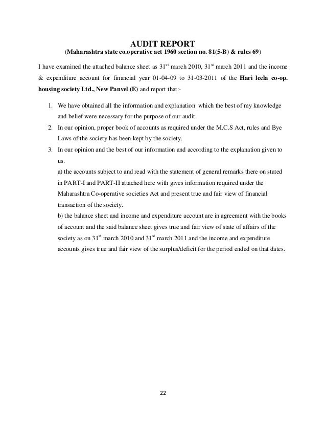
Housing Society Audit Report

Housing Society Audit Report / An auditor should ascertain that how many shares are held by each member of the society;